首页
管理文件
课题与论文
课题研究
研究论文
专业建设
课程与教材
课程建设
教材建设
平台建设
质量与效果
培养效果
应用证明
培养质量证明
反响与报道
获奖与奖励
材料下载
申报书
成果总结报告
支撑材料
区域职教共同体
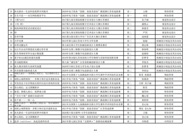
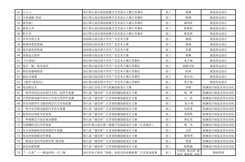
现代职教体系近五年学生竞赛重要获奖一览表
发布人:常睿 发布时间:2022-09-23 浏览次数:
13
地址:江苏省常州市新北区辽河路666号
电话:88510135
Email:jwc@oa.czu.cn
常州工学院
制作维护